[ Home ] [ Publications ] [ Bio ] [ Research ] [ Jobs ] [ Group ] [ Covers ] [ Cool movies ] [ Photos ] [ Visitor Info ]
![]()
Shock simulations in Aluminum using machine leaning force field


Shock is simulated in
aluminum (Al) using LAMMPS with the machine learned ANI-Al potential applied to
1.3M atoms. Movies show shock propagation in potential energy (top) and
dislocation formation (bottom). ANI-Al potential is obtained using fully
automatic active learning sampler. For more details see:
J. S. Smith, B. Nebgen, N. Mathew, J. Chen, N. Lubbers, L. Burakovsky, S. Tretiak, H. Ah Nam, T. Germann, S. Fensin, K. Barros, “Automated discovery of a robust interatomic potential for aluminum” Nature Comm., 12, 1257 (2021).
PDF file [2Mb]
![]()
2D Perovskites for X-Ray detectors

Thin film device
architecture using layered two dimensional perovskite as radiation absorber
responds strongly to hard X-ray at 11 keV energy when using merely ~500 nm
thick films. A self-powered device (scintillator, see the bright spot in the
dark) eliminates the need of external bias. For more details see:
H. Tsai, F. Liu, J. Baldwin, B. Scott, S. Tretiak, D. T. Vo, J. Strzalka, and W. Nie, “A sensitive and robust thin-film x-ray detector using 2D layered perovskite diodes” Sci. Adv., 6, eaay0815 (2020).
PDF file [2Mb]
Related: Chosen by Physics World editorial team as one of its “Top 10 Breakthroughs of the Year” https://physicsworld.com/a/physics-world-announces-its-breakthrough-of-the-year-finalists-for-2020/

Evolution of the transition density (aka excited state wavefunction) after absorption of the light-quantum (left) and concomitant localization/delocalization of excited state (right) coherently modulated by vibrational excitation a modeled with the NEXMD code. For more details see:
T.R. Nelson, D. Ondarse-Alvarez, N. Oldani, B. Rodriguez-Hernandez, L. Alfonso-Hernandez, J.F. Galindo, V.D. Kleiman, S. Fernandez-Alberti, A.E. Roitberg, S. Tretiak, "Coherent Exciton-Vibrational Dynamics and Energy Transfer in Conjugated Organics", Nature Comm. 137, 11637 (2018).
PDF file [2.8Mb]

Evolution of the transition density (aka excited state wavefunction) after absorption of the light-quantum modeled with the NA-ESMD code illustrating light-harvesting function of a large dendrite. For more details see:
J.F. Galindo, E. Atas, A. Altan, D.G. Kuroda, S. Fernandez-Alberti, S. Tretiak, A.E. Roitberg, V.D. Kleiman, "Dynamics of Energy Transfer in a Conjugated Dendrimer Driven by Ultrafast Localization of Excitations", J. Am. Chem. Soc. (journal cover page) 137, 11637-1644 (2015).
PDF file [2.8Mb]
Journal cover page: PDF file [500K]
![]()

Illustration of the wavepacket evolution in the adiabatic ground (top) or first excited (middle) state, and non-adiabatic excited state dynamics sampling multiple states (bottom) in a conjugated oligomer at room (left) and low (right) temperatures. For more details see:
T. Nelson, S. Fernandez-Alberti, A. E. Roitberg, and S. Tretiak, ”Nonadiabatic Excited-State Molecular Dynamics: Modeling photophysics in organic conjugated materials”, Acc. Chem. Res., 47, 1155 - 1164 (2014).
PDF file [4Mb]
![]()

Evolution of the transition density (aka excited state wavefunction) after absorption of the light-quantum modeled with the NA-ESMD code illustrating an interplay of through-bond and through-space energy transfer in a conjugated bodipy dendrimer.
![]()

Evolution of the transition density (aka excited state wavefunction) after absorption of the light-quantum modeled with the NA-ESMD code illustrating excitonic dynamics on a cycloparaphenylene ring during internal conversion. For more details see:
L. Adamska, I. Nayyar, N. Oldani, S. Fernandez-Alberti, H. Chen, A. K. Swan, S. K. Doorn, and S. Tretiak,, ”Self-trapping of excitons, violation of Condon approximation and efficient fluorescence in conjugated cycloparaphenylenes”, Nano Lett., 14, 6539 - 6546 (2014).
PDF file [3.4Mb]
![]()


Top: Simulated dynamics of photoexcited electron and hole wavepackets during 1 ps non-radiative (intraband) ralaxation dynamics in a small ligated CdSe cluster. Bottom: concomitant vibrational (phonon) motions are particularly pronounced on the ligands. For more details see:
J. Liu, S. Kilina, S. Tretiak, and O.V. Prezhdo, ”Ligands Slow Down Pure-Dephasing in Semiconductor Quantum Dots”, ACS Nano, 9, 9106 - 9116 (2015).
PDF file [3Mb]
S. Kilina, K. Velizhanin, S. Ivanov, O. V. Prezhdo and S. Tretiak, ”Surface ligands increase photoexcitation relaxation rates in CdSe quantum dots”, ACS Nano, 6, 6515 - 6524 (2012).
PDF file [2.8Mb]
![]()


After optical excitation, vibronic dynamics leads to dissociation of NO2 (top) defined by concomitant evolution of the transition density (bottom) in a petrin tetrazine chloride as modeled with the NA-ESMD code, illustrating photochemistry occurring due to conversion of electronic energy into vibrations and bond-breaking. For more details see:
M. T. Greenfield, S. D. McGrane, C. A. Bolme, J. A. Bjorgaard, T. R. Nelson, S. Tretiak and R. J. Scharff, ”Photoactive high explosives: linear and nonlinear photochemistry of petrin tetrazine chloride”, J. Phys. Chem. C, 119, 4846 - 4855 (2015).
PDF file [3.3Mb]
![]()


Classical molecular dynamics simulations illustrating formation of ordered (left) and disordered (right) interfaces in organic semiconductors when oligomers of phenylene vinylene are deposited on the molecular crystal of the same material. For more details see:
W. Nie, G. Gupta, B.K. Crone, F. Liu, D.L. Smith, P. Ruden, C. Kuo, H. Tsai, H.-L. Wang, H. Li, S. Tretiak, and A.D. Mohite, ”Interface Design Principles for High Efficiency Organic Semiconductor Devices”, Adv. Sci., 2, 1500024 (2015).
PDF file [1.1Mb]
![]()

Evolution of the transition density (aka excited state wavefunction) after absorption of the light-quantum modeled with the NA-ESMD code illustrating through-space energy transfer in a coupled conjugated polymer segments. For more details see:
T. Nelson, S. Fernandez-Alberti, A.E. Roitberg, S. Tretiak, ”Conformational Disorder in Energy Transfer: Beyond Forster Theory”, Phys. Chem. Chem. Phys., 15, 9245 - 9256 (2013).
PDF file [3.5Mb]
![]()

Evolution of the transition density (aka excited state wavefunction) after absorption of the light-quantum modeled with the NA-ESMD code illustrating a unidirectional sequential (Shishiodoshi-like) energy transfer in a dendrimer. For more details see:
S. Fernandez-Alberti, V. D. Kleiman, T. Nelson, S. Tretiak and A. E. Roitberg, ”Shishiodoshi unidirectional energy transfer mechanism in phenylene ethynylene dendrimers”, J. Chem. Phys., 137, 22A526 (2012).
PDF file [1.4Mb]
![]()

Classical molecular dynamics simulations of the DNA strand wrapping around the single-walled carbon nanotube. For more details see:
D.A. Yarotski, S.V. Kilina, A. Talin, S. Tretiak, O.V. Prezhdo, A.V. Balatsky and A.J. Taylor ”Scanning tunneling microscopy of DNA-wrapped carbon nanotubes”, Nano Lett., 9, 12-17 (2009).
![]()

Evolution of the wavepacket
passing through the conical intersection and separating into several
counterparts (red and blue colors) on the different surfaces. For mode details
see:
A.
Piryatinski, M. Stepanov, S. Tretiak, and V. Chernyak, "Semiclassical scattering on conical intersections", Phys.
Rev. Lett., 70, 223001
(2005).
PDF file [310K]
![]()

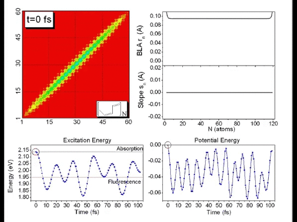
The movie shows that upon the photoexcitation, the exciton
created is initially delocalized along the entire chain (t=0). Due to strong electron-phonon coupling
an exciton rapidly distorts the lattice in the middle of the chain (t=16 fs)
and localizes itself in this region on the timescale of ~20 fs. When an exciton
distorts the lattice, dynamical vibrational excitations (phonons) are created,
appearing as waves in the bond-length alternation on the edges of the exciton
potential well (t=44 fs). The subsequent dynamics can be qualitatively
described as following: the phonon "waves" propagate in opposite directions,
reflect from the chain ends, and meet in the middle of the chain pulling an
exciton out of its well and delocalizing the excitation (e.g. t=100 fs). The
exciton, in turn, attempts to localize again, creating more phonons, i.e. the
energy is exchanging between electronic and vibrational degrees of freedom.
This variation of diagonal delocalization is a characteristic "breathing" pattern with period
of 34 fs which is not associated with any of the vibrational normal modes
(which may be observed in Raman of IR spectra). For
mode details see:
S. Tretiak, R. L. Martin, A. Saxena, and A. R. Bishop, "Photoexcited breathers in conjugated polyenes: An excited state molecular dynamics study," Proc. Nat. Acad. Sci. USA, 100, 2185 (2003).
PDF file [400K]